Skip to content

图解字节&leetcode160:编写一个程序,找到两个单链表相交的起始节点 #17

@sisterAn

Description

@sisterAn

编写一个程序,找到两个单链表相交的起始节点。

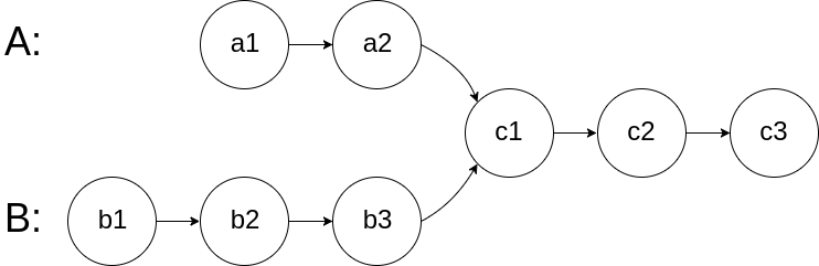
如下面的两个链表:

在节点 c1 开始相交。

 

示例 1:

输入:intersectVal = 8, listA = [4,1,8,4,5], listB = [5,0,1,8,4,5], skipA = 2, skipB = 3
输出:Reference of the node with value = 8
输入解释:相交节点的值为 8 (注意,如果两个列表相交则不能为 0)。从各自的表头开始算起,链表 A  [4,1,8,4,5],链表 B  [5,0,1,8,4,5]。在 A 中,相交节点前有 2 个节点;在 B 中,相交节点前有 3 个节点。

示例 2:

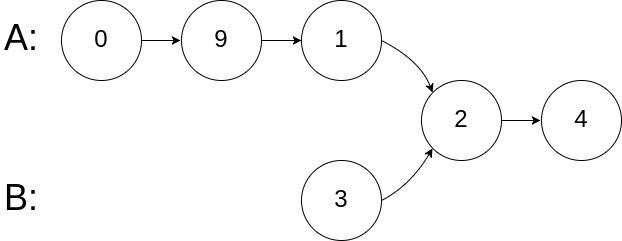
输入:intersectVal = 2, listA = [0,9,1,2,4], listB = [3,2,4], skipA = 3, skipB = 1
输出:Reference of the node with value = 2
输入解释:相交节点的值为 2 (注意,如果两个列表相交则不能为 0)。从各自的表头开始算起,链表 A  [0,9,1,2,4],链表 B  [3,2,4]。在 A 中,相交节点前有 3 个节点;在 B 中,相交节点前有 1 个节点。

示例 3:

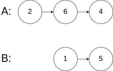
输入:intersectVal = 0, listA = [2,6,4], listB = [1,5], skipA = 3, skipB = 2
输出:null
输入解释:从各自的表头开始算起,链表 A  [2,6,4],链表 B  [1,5]。由于这两个链表不相交,所以 intersectVal 必须为 0,而 skipA  skipB 可以是任意值。
解释:这两个链表不相交,因此返回 null。

注意:

  • 如果两个链表没有交点,返回 null.
  • 在返回结果后,两个链表仍须保持原有的结构。
  • 可假定整个链表结构中没有循环。
  • 程序尽量满足 O(n) 时间复杂度,且仅用 O(1) 内存。

附leetcode地址:leetcode

Metadata

Metadata

Assignees

No one assigned

    Projects

    No projects

    Milestone

    No milestone

    Relationships

    None yet

    Development

    No branches or pull requests

    Issue actions