Skip to content

lchen1019/AutoSleep

Repository files navigation

AutoSleep

1. 布局与功能设计

P1. 进入主界面,展示开始按钮,设置时间按钮

P2. 点击开始会记录进入计时线程,记录时间流逝,并切换背景到暗色背景

P3. 判定为尚未入睡,重新计时,更换背景(判定方式见下方流程图)

P4. 点击设置时间按钮,设置时间,最多24小时

(到时间响铃,一分钟未醒调大音量)

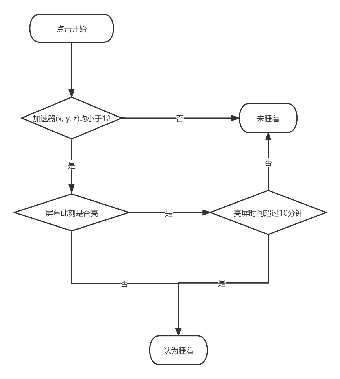
2. 判断入睡逻辑

3. 代码实现

3.1 协作线程通信关系图解

未命名文件

3.2 关键代码实现

3.2.1 播放音乐,调大音量
// 播放闹钟音乐
MediaPlayer m = null;
if(!alarmStart) {
    m = MediaPlayer.create(MainActivity.this, R.raw.alarm);
    m.setLooping(true);
    m.start();
    alarmStart = true;
}
// 一分钟未醒,获取最大音量,并设置为最大
while(!wakeup) {
    try {
        sleep(1000);
        cnt++;
        AudioManager am=(AudioManager)getSystemService(Context.AUDIO_SERVICE);
        int maxVolume = am.getStreamMaxVolume(AudioManager.STREAM_MUSIC);
        if(cnt > 60) {
            am.setStreamVolume(AudioManager.STREAM_MUSIC, maxVolume, AudioManager.FLAG_PLAY_SOUND);
        }
    } catch (InterruptedException e) {
        e.printStackTrace();
    }
}
3.2.1 获取加速度传感器,并根据阈值做出响应
public void MoveThread() {
        SensorManager sm = (SensorManager) getSystemService(Context.SENSOR_SERVICE);
        Sensor s = sm.getDefaultSensor(Sensor.TYPE_ACCELEROMETER);
        SensorEventListener el = new SensorEventListener() {
            @Override
            public void onSensorChanged(SensorEvent e) {
                if(userCheck) {
                    if(e.sensor.getType() == Sensor.TYPE_ACCELEROMETER){
                        float x = e.values[0];
                        float y = e.values[1];
                        float z = e.values[2];
                        if ((Math.abs(x)>12||Math.abs(y)>12||Math.abs(z)>12)) {
                            isReset = true;
                            running = false;
                            unMove = false;
                            start.callOnClick();
                        } else {
                            if(!startEnd) {
                                running = true;
                            }
                        }
                    }
                }
            }
            @Override
            public void onAccuracyChanged(Sensor sensor, int i) {
            }
        };
        sm.registerListener(el,s,SensorManager.SENSOR_DELAY_UI);
    }
3.2.2 获取屏幕状态,做忘记关闭熄屏判断
KeyguardManager mKeyguardManager = (KeyguardManager) getSystemService (Context. KEYGUARD_SERVICE);
boolean flag = mKeyguardManager.inKeyguardRestrictedInputMode();
3.3.3 修改背景颜色前需要清空背景,不然会造成颜色叠加
all.setBackgroundResource(0);
all.setBackgroundColor(R.color.sleep);

4. 总结

这个项目还有很多不成熟的地方,判断入睡逻辑不够完备,并且如果可以根据睡眠时间长度动态响应,会更好。

使用线程过多,对资源有一定的消耗,并且线程间通信逻辑比较混乱,不利于修改。

About

根据手机传感器的智能睡觉闹钟

Resources

Stars

Watchers

Forks

Releases

No releases published

Packages

No packages published

Languages