Skip to content

Camera calibration using vanishing points to generate Aruco tag-based Augmented Reality (AR) cubes.

Notifications You must be signed in to change notification settings

casychow/Camera-Tag-AR

Folders and files

NameName
Last commit message
Last commit date

Latest commit

 

History

5 Commits
 
 
 
 
 
 
 
 
 
 

Repository files navigation

Camera Tag-Based Augmented Reality

There are three parts to this project:

  1. Find Vanishing Points
  2. Camera Calibration
  3. Render Aruco Tag Generated AR Box

Final Result

Part 1 - Find Vanishing Points

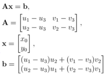
First, the coordinates of the picture origin and vanishing points were manually detected and recorded. The points were then used to compute an A and b matrix that would be used to solve the equation Ax=b. The resulting 2x1 vector x, would represent x0and y0, the principal point. The equations are represented below.

The focal point was found using using the following equation.

The blue circles represent the intersection of vanishing lines, or in other words, the vanishing points.

Part 2 - Camera Calibration

This part of the project used the Aruco tags found in the cv2 Python library. One must generate a chessboard of Aruco tags as shown below, take pictures of the Arcuo chessboard with varying distance and angles with respect to the chessboard, and pass all images into this program to calibrate the camera.

The pictures used to calibrate the camera are placed in the calibration_pics folder.

Part 3 - Render Aruco Tag Generated AR Box

After the camera has been calibrated, the same camera should be used to take one picture of an Aruco tag. We will project a cube on top of the tag, as shown below.

About

Camera calibration using vanishing points to generate Aruco tag-based Augmented Reality (AR) cubes.

Topics

Resources

Stars

Watchers

Forks

Releases

No releases published

Packages

No packages published